कोरोना !निजामुद्दीन की घटना के मद्देनजर यूपी के 18 जिलों में एलर्ट जारी
लखनऊ, 31 मार्च 2020। दिल्ली के निजामुद्दीन क्षेत्र के एक जमात में एकत्र हुए छह लोगों की तेलंगाना में मौत के बाद पश्चिमी उत्तर प्रदेश में अलर्ट जारी किया है। पश्चिमी उत्तर प्रदेश के जिलों में पुलिस अधीक्षकों से कहा गया है कि निजामुद्दीन में हुई जमात में शामिल अपने इलाके के लोगों की पहचान कर उनकी मेडिकल जांच करायें।
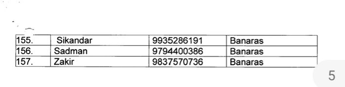
एसपी कानून-व्यवस्था अभय शंकर की ओर से गाजियाबाद, मेरठ, सहारनपुर, मुजफ्फरनगर, शामली, हापुुड़, बिजनौर, बागपत, वाराणसी, भदोही, मथुरा, आगरा, सीतापुर, बाराबंकी, प्रयागराज, बहराइच, गोण्डा व बलरामपुुर के पुलिस अधीक्षकों को अलर्ट किया गया है। पत्र में कहा गया है कि दिल्ली के हजरत निजामुद्दीन इलाके में फारेन टीम्स आफ तबलीगी जमात में उत्तर प्रदेश के आने वालों की सूूची संलग्न कर भेजी जा रही है। सूची के मुताबिक सभी व्यक्तियों की कोरोना वायरस के मद्देनज़र जांच की जाए।



सूची में दिए गए लोगों के नाम के मुताबिक अगर वे संक्रमित पाए जाएं तो उन्हें तुरंत अस्पताल में भर्ती कराया जाए।
बताते चलें कि दक्षिणी दिल्ली के निजामुद्दीन स्थित तबलीगी जमात के मरकज में करीब दो हजार लोग शामिल हुए थे, जहां से अब देशभर में कोरोना के संक्रमण फैलने का मामला सामने आया है। मरकज में आए लोगों में से अब तक सिर्फ राजधानी दिल्ली में ही 24 में कोरोना पॉजिटिव केस सामने आया है। इनमें कोरोना पॉजिटिव के छह मामले रविवार को सामने आए थे जबकि सोमवार को 18 मामले आए हैं। मरकज में शामिल होने आए लोगों में करीब 100 से ज्यादा विदेशी थे, बांग्लादेश, श्रीलंका, अफगानिस्तान, मलेशिया, सऊदी अरब, इंग्लैंड और चीन से थे।
Views: 4









