एक जून से आरम्भ होंगी 200 यात्री ट्रेन
वाराणसी, 28 मई 2020। भारतीय रेलवे, आम नागरिकों के लिए 01 जून से 200 यात्री ट्रेनों का परिचालन शुरू करने जा रही है। इन ट्रेनों के लिए 21 मई से आनलाइन टिकट बुकिंग तथा 22 मई से सीमित आरक्षण काउंटरों से टिकट बुकिंग व्यवस्था आरम्भ है। इन ट्रेनों में एसी और नॉन एसी के अलावा जनरल कोच भी होगा । रेलवे की ओर से जारी सूची में दुरंतो, संपर्क क्रांति, जन शताब्दी और पूर्वा एक्सप्रेस जैसी ट्रेनों के नाम हैं । यात्रियों की सुविधा के लिए पूर्वोत्तर रेलवे के वाराणसी मंडल के प्रमुख स्टेशनों – मडुवाडीह, गाजीपुर सिटी, बलिया, छपरा, सीवान , देवरिया,मऊ एवं आजमगढ़ के कम्प्यूटरीकृत यात्री आरक्षण केन्द्र सिंगल शिफ्ट(प्रातः 08:00 बजे से सायं 04:00बजे) तक के लिए खोले गए हैं।जन सम्पर्क विभाग, पूर्वोत्तर रेलवे,वाराणसी द्वारा बताया गया है कि उक्त ट्रेनों से यात्रा करने के लिए रेलवे प्रशासन ने पैसेंजर गाइडलाइंस जारी किया है, जो निम्न है …….
1. रेलवे स्टेशनों पर यात्रियों का प्रवेश और निकास अलग-अलग द्वार से होगा । स्टेशनों एवं ट्रेनों में मानक समाजिक दूरी और रक्षा,सुरक्षा और स्वच्छता प्रोटोकाल का पालन किया जायेगा । केवल कन्फर्म्ड टिकट वाले यात्रियों को ही रेलवे स्टेशन में प्रवेश करने की अनुमति दी जाएगी ।
- ट्रेन पर चढ़ने के लिए सभी यात्रियों की अनिवार्य रूप से जाँच की जाएगी और केवल लक्षण न पाए जाने वाले यात्रियों को ही यात्रा करने की अनुमति होगी । लक्षण पाए जाने वाले यात्री को टिकट कैंसिलेशन पर पूरा रिफण्ड मिलेगा । यात्रियों को कम से कम 90 मिनट पहले स्टेशन पहुँचना होगा ।
-
सभी यात्रियों को यात्रा के दौरान फेस कवर/मास्क पहनना होगा साथ ही स्टेशन और ट्रेनों के अंदर भी समाजिक दूरी का पालन करना होगा। अपने गंतव्य पर पहुँचने पर यात्रियों को राज्य/केंद्र शासित प्रदेशों द्वारा निर्धारित स्वास्थ्य प्रोटोकाल का पालन करना होगा ।
-
ट्रेन के भीतर कोई लिनेन,कंबल और पर्दे उपलब्ध नहीं कराए जायेंगे । यात्रियों को सलाह दी जाती है कि वे अपना लिनेन ,भोजन और पानी साथ लेकर यात्रा करें । ए सी कोचों के भीतर का तापमान उपयुक्त रूप से नियंत्रित रखा जाएगा । यात्रियों को कम सामान के साथ सफर करने की सलाह दी जाती है ।
-
नियमित ट्रेनों में स्वीकृत सभी कोटे की अनुमति दी जाएगी और सीमित संख्या में आरक्षण काउण्टर संचालित किये जा रहे हैं । ट्रेन के प्रस्थान करने के कम से कम 4 घंटे पहले पहला चार्ट तैयार किया जाएगा । ट्रेन में कोई भी अनारक्षित(Unreserved) कोच नहीं होगा । श्रमिक स्पेशल ट्रेनों को चलाया जाना स्थानीय राज्य सरकारों द्वारा जारी रहेगा ।
-
अग्रिम आरक्षण की अवधि अधिकतम 30 दिनों की होगी तथा मौजूदा नियमों के अनुसार (RAC/WL) आरएसी और प्रतीक्षा सूची तैयार की जाएगी । आरएसी एवं प्रतीक्षा सूची के (RAC/WL) टिकट धारकों को ट्रेन में चढ़ने की अनुमति नही होगी ।कोई भी अनारक्षित (Unreserved) टिकट जारी नहीं किया जायेगा और यात्रा के दौरान किसी भी यात्री को कोई टिकट जारी नहीं किया जायेगा ।
-
यात्रियों से सम्बंधित रियायतों के अंतर्गत नियमित ट्रेनों में स्वीकृत सभी कोटे की अनुमति दी जाएगी और दिव्यांगजन की केवल 4 श्रेणियों एवं रोगियों की 11 श्रेणियों में रियायत दी जाएगी । टिकट रद्दीकरण और वापसी के लिए रेलवे यात्री (टिकट रद्दीकरण और किराया वापसी ) नियम,2015 लागू होगा ।
-
अन्य नियमित यात्री सेवाएं,जिसमें सभी मेल/एक्सप्रेस ट्रेने हैं ,यात्री और उपनगरीय रेल सेवाएं अगले निर्देश तक रद्द रहेंगी । आई आर सी टी सी केवल सीमित ट्रेनों में भुगतान के आधार पर खाने-पीने और सीलबंद पीने का पानी की व्यवस्था करेगा ।
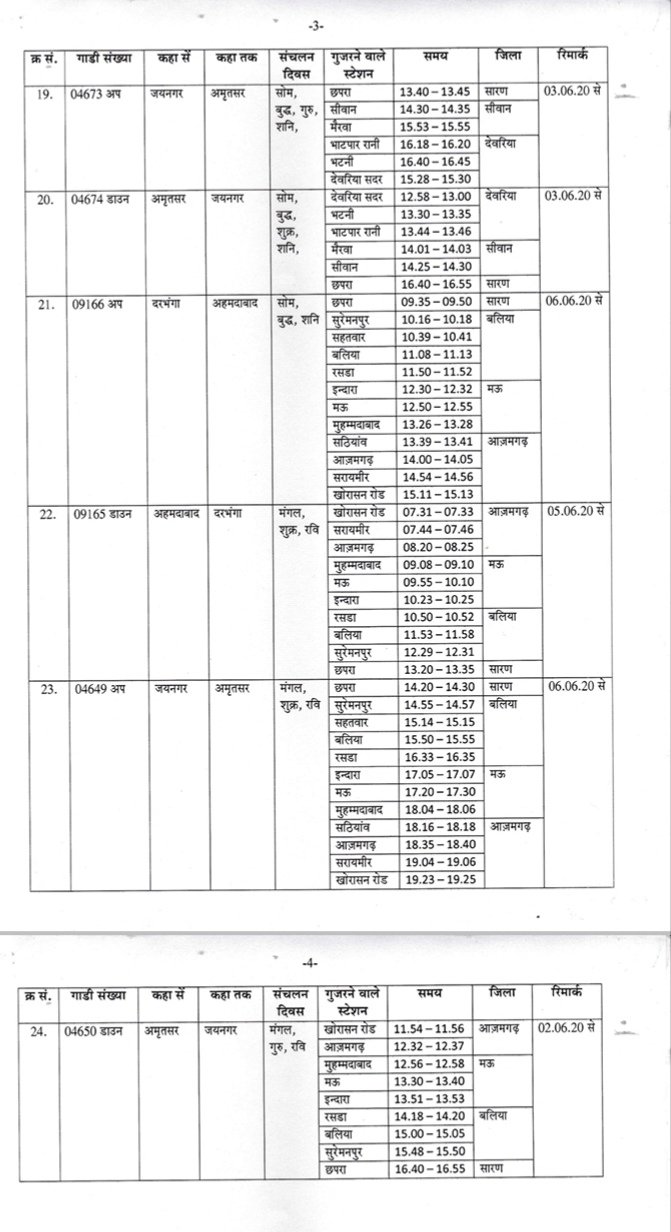
वाराणसी मंडल से ओरिजनेट/टर्मिनेट होने वाली तथा मंडल से विभिन्न स्टेशनों से गुजरने वाली गाड़ियों सूची निम्नलिखित है……….




Views: 5








